Business social network with 4M professionals
株式会社プログリット / バックエンドエンジニア
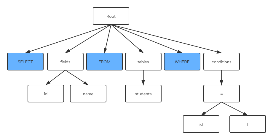
MySQLの仕組み調べてみた
Java
PHP
Spring Boot
AWS
Laravel
Receive Scouts from companies